Comprendre le taux d'actualisation dans l'évaluation des propriétés commerciales

Il existe de nombreuses façons différentes d’évaluer la valeur d’une propriété dans l’immobilier commercial. Certaines de ces méthodes, comme la capitalisation des revenus (approche du taux plafond) ou le prix au pied carré, sont conçues pour estimer la valeur marchande de la propriété à un moment précis. D'autres méthodes, telles que le approche des flux de trésorerie actualisés, sont conçus pour donner aux investisseurs une idée de si une propriété offrira ou non un rendement sur toute la période de détention qui correspond au taux de rendement requis par les investisseurs sur un investissement.
Le modèle de flux de trésorerie actualisés (DCF) permet aux investisseurs de projeter les revenus, les dépenses et les flux de trésorerie pour toute la période de détention estimée de la propriété. La configuration du modèle DCF permet également deux autres types d'analyse à la suite des flux de trésorerie estimés : la valeur actuelle nette (VAN) et le taux de rendement interne (TRI). La VAN et le TRI sont abordés plus en profondeur dans d'autres articles, mais dans cet article, nous examinerons l'un des composants essentiels de la méthode VAN appelé « taux d'actualisation » afin de mieux comprendre le fonctionnement de la VAN.
What is a discount rate
The discount rate is the measure that’s used to determine the current value of future cash flows from a property. The concept behind discounting and the time value of money is discussed in the article referenced above on the NPV, so it’s suggested that you first refer to that article if you’re unfamiliar with the time value of money and the NPV method.
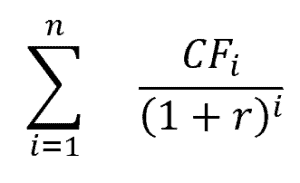
In order to understand the role and the importance of the discount rate, we have to first look at the NPV calculation. Mathematically, the NPV is calculated as below.
n = total number of periods (in the table above this would be 5)
i = period, where period starts at value 1
CF = CF at end of period
r = rate of return

In this formula, the “r” is the discount rate and represents the rate of return the investor demands to achieve on the investment.
Choosing a discount rate that accurately reflects the expectations of the investors and the reality of the property and market is more of an art than a science, but we’ll cover some of the main considerations that should be explored when choosing the rate at which to discount future expected cash flows in the next section.
To give an idea of how the factors in the next section should be viewed, the figure below is a simplified representation of the relationship between risk and return for different types of real estate investment: core, value add, and opportunistic.
The higher the risk, the higher the return expectations should be. The factors in the next section should allow an investor or analyst to better quantify the characteristics of markets, properties, and investor expectations in order to determine which category of risk/return profile the property falls into. Then a discount rate can be estimated more accurately.

How to choose a discount rate
For those new to real estate, choosing an appropriate discount rate can be a confusing process. There are numerous factors that need to be considered when determining what discount rate should be applied to a specific property.
This usually starts with a general idea of what rates of return are being achieved on similar properties in the market and then making adjustments for the individual factors and situation of the property in question.
The sections below discuss what an analyst should be aware of when deciding how to discount projected cash flows for a property.
Market benchmark
Usually, the first place to start when choosing a discount rate is to analyze the macroeconomic situation. Just like any investment, real estate returns are predicated on some sort of risk premium above a benchmark, such as the rate on 10-year United States treasuries.
In times where the treasury rate has been high, discount rates have also been high, and vice versa. If rates on 10-year treasuries are 10%, for example, it doesn’t make sense to choose a discount rate of 4% for your investment.
The following factors are not necessarily in order, but should be reviewed collectively to determine the relationship between all of the factors.
Property characteristics
Once a premium above a benchmark is set, adjustments need to be made for the type of property you’re considering. Amongst the factors to be considered are the type of the property, the class of the property, market, submarket, and others.
Generally, properties in primary markets tend to have lower premiums than properties in secondary and tertiary markets, class A properties have lower premiums than class B or class C properties, and properties in central business districts tend to have lower premiums than those in the suburbs.
Market direction
Another thing that needs to be considered is the direction of the market. When it’s believed that the market will continue to grow (usually meaning rising lease rates and property values), it’s reasonable to assume a lower amount of risk and thus a lower discount rate.
However, if there is reason to believe the market will decline then the investor needs to account for a higher level of risk with a higher discount rate.
Property risks
After adjusting for the market and the characteristics of the property, a thorough review should be made to understand the stability of the future cash flows by identifying risks that the property faces. These risks include uncertainty around lease expirations, capital expenditures, or the viability of the property to be competitive in the future.
Investors required rate of return
All of the factors above need to be put in the context of the returns the individual investor needs to achieve to make the investment worthwhile. Large institutional investors usually have access to capital at much lower cost than smaller, less well-capitalized investors. For these smaller investors with higher cost of both debt and equity, the discount rate needed to cover those costs and achieve a profit is often higher than the hurdle faced by larger investors.
Conclusion
This list of factors that should be considered in adjusting the discount rate to better represent the characteristics of a specific property is not exhaustive, but should give an idea of the types of elements that need to be considered.
The takeaway here is that the discount rate is partially a reflection of the stability, or lack of stability, that the property presents. If an investor is purchasing a property that contains multiple areas of increased risk factors, then that investor should expect to be compensated for taking on the additional risk.
Likewise, if an investor is purchasing a fully-stabilized and high-quality property, then the return expectations should be lower than for that of more risky properties.
Vous souhaitez être informé de nos nouveaux contenus, articles et événements CRE pertinents ?
Auteur

Groupe Altus
Auteur

Groupe Altus
Ressources
Dernières informations

oct. 16, 2025
Suivi de l'économie et de l'immobilier commercial malgré une panne de données gouvernementale

oct. 14, 2025
Le capital pousse-t-il désormais les investisseurs vers des modèles multifamiliaux américains plus anciens ?

oct. 2, 2025
De l'emploi au logement en passant par l'aspect humain du secteur immobilier commercial

oct. 16, 2025
Suivi de l'économie et de l'immobilier commercial malgré une panne de données gouvernementale

oct. 14, 2025
Le capital pousse-t-il désormais les investisseurs vers des modèles multifamiliaux américains plus anciens ?

oct. 2, 2025
De l'emploi au logement en passant par l'aspect humain du secteur immobilier commercial


sept. 23, 2025
Évaluation de l'immobilier commercial : pourquoi les coûts de vente aux États-Unis ne sont pas uniformes

sept. 23, 2025